O. Reg. 447/94: ONTARIO TAX CREDIT SYSTEM, Income Tax Act, R.S.O. 1990, c. I.2
Income Tax Act
Loi de l’impôt sur le revenu
ONTARIO REGULATION 447/94
ONTARIO TAX CREDIT SYSTEM
Historical version for the period October 6, 2000 to December 20, 2007.
Last amendment: O. Reg. 555/00.
This Regulation is made in English only.
1. For the purposes of clause (b) of the definition of “housing unit” in subsection 8 (1) of the Act, premises in the following types of institutions are prescribed not to be housing units:
1. “Institutions” as defined in subsection 21 (1) of the Health Protection and Promotion Act.
2. Hospitals listed in Group F or G in the list of public hospitals maintained under subsection 32.1 (2) of the Public Hospitals Act.
3. “Satellite homes” as defined in section 1 of Regulation 637 of the Revised Regulations of Ontario, 1990 (General). O. Reg. 447/94, s. 1; O. Reg. 555/00, s. 1.
2. If taxes for municipal and school purposes are paid in a year in respect of premises that are otherwise excluded from the definition of “housing unit” in subsection 8 (1) of the Act, the premises shall for the purposes of the Act be regarded as a housing unit of any individual who occupies and inhabits the premises during the year and receives no financial assistance from any government body or agency to reduce the cost of the occupation of the premises by the individual. O. Reg. 447/94, s. 2.
3. For the purposes of clause (d) of the definition of “municipal tax” in subsection 8 (1) of the Act, the following are prescribed to be included within the meaning of that term:
1. Amounts paid under the Statute Labour Act, or under a by-law passed under the authority of that Act, for commutation of statute labour.
2. Amounts paid for fees charged by a school board and licence fees levied by a municipality in respect of mobile homes.
3. Taxes imposed under the Local Services Boards Act and levied under the Provincial Land Tax Act. O. Reg. 447/94, s. 3.
4. For the purposes of the definition of “principal residence” in subsection 8 (1) of the Act, the prescribed manner for an individual to designate a housing unit as his or her principal residence is by completing the declaration of the address or addresses of his or her principal residence or residences for the year in the return filed by the individual under the Act for the taxation year for which the property tax credit is claimed under section 8 of the Act. O. Reg. 447/94, s. 4.
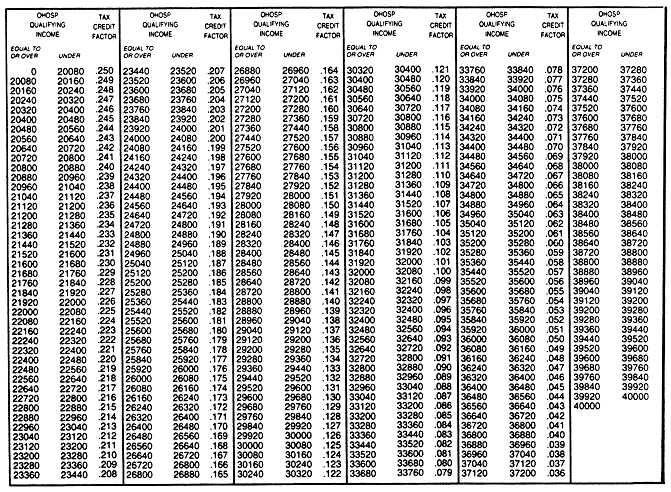
5. For the purposes of subclause 8 (4) (b) (ii) of the Act, the prescribed percentage is the tax credit factor in Schedule 1, expressed as a percentage, that is applicable to the OHOSP qualifying income equal to the individual’s qualifying adjusted income under clause 8 (2) (b) of the Act for the taxation year. O. Reg. 447/94, s. 5.
6. Revoked: O. Reg. 488/00, s. 1.
7. For the purposes of subsection 8 (9) of the Act, the information contained in the Official Receipt Form provided by the Commission on Election Finances is prescribed. O. Reg. 447/94, s. 7.
8. Omitted (revokes other Regulations). O. Reg. 447/94, s. 8.
9. Omitted (provides for coming into force of provisions of this Regulation). O. Reg. 447/94, s. 9.
SCHEDULE 1
OHOSP TAX CREDIT FACTOR TABLE

O.Reg. 447/94, Sched. 1.
SCHEDULE 2 Revoked: O. Reg. 488/00, s. 2.
SCHEDULE 3 Revoked: O. Reg. 488/00, s. 2.